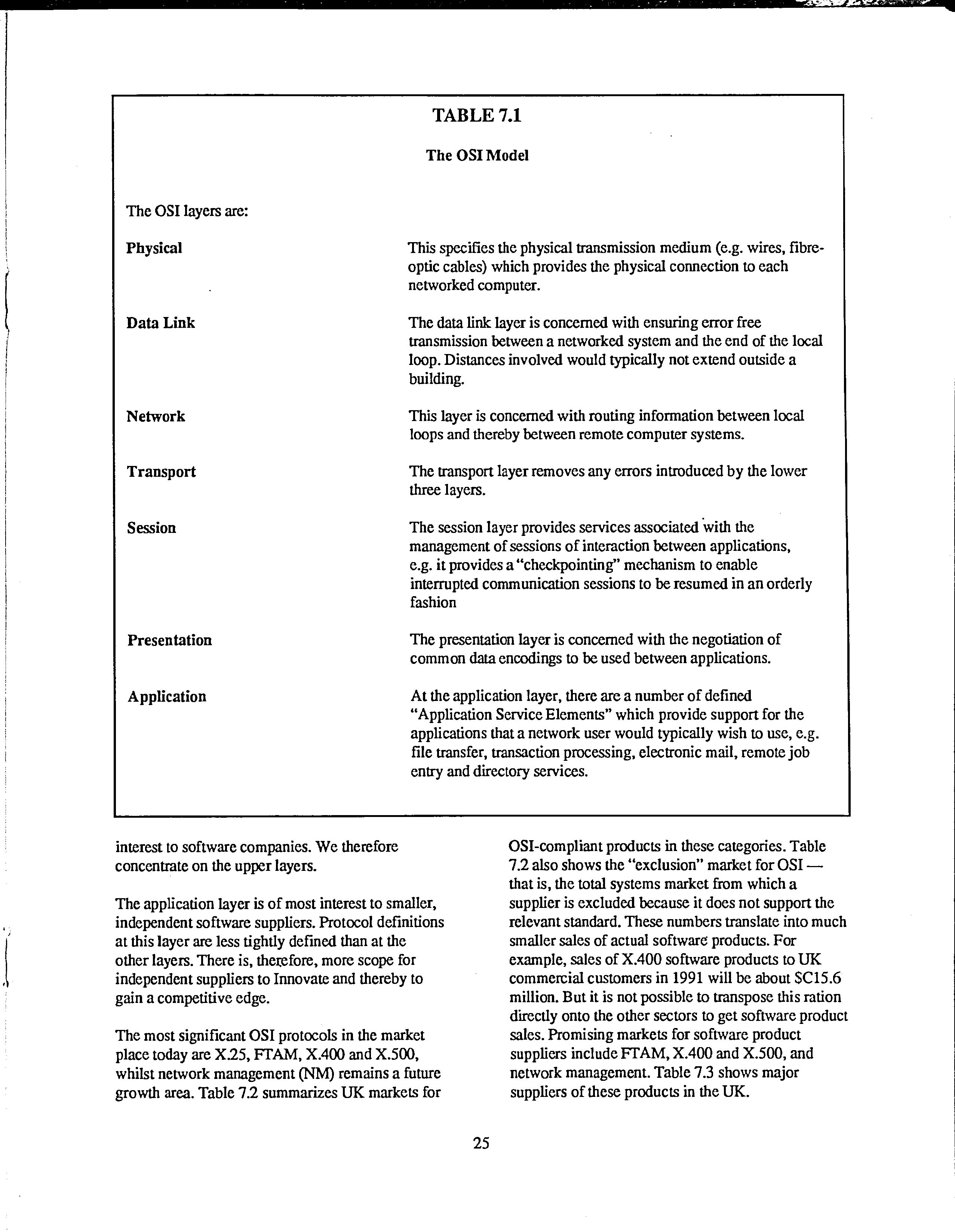
Europe 1992 and Canada's software industry :
Cette collection numérique contient des images de documents historiques textuels. Un texte alternatif n’est pas disponible pour ces images.
Une erreur est survenue lors du téléchargement de cette image.
Pour obtenir de l'aide et des options de téléchargement supplémentaires, veuillez consulter notre page documentation
Aide
[Ottawa] : External Affairs and International Trade Canada, 1991.; 47 images avec recherche en texte intégral
Notice bibliographique du document
- Créateur
-
Ovum Ltd.
Canada. External Affairs and International Trade Canada. - Titre
-
1992 Canada Europe.
Europe 1992 and Canada's software industry : the software market in the United Kingdom - Adresse bibliographique
- [Ottawa] : External Affairs and International Trade Canada, 1991.
- Identificateur
-
CA1 EA14 91S54 ENG
ooe.b2403043E
b2403043E - Sujet
-
Europe 1992.
Software engineering -- Great Britain. - Notes
-
Also published in French under title: Europe 1992 et l'industrie canadienne des logiciels : le marché britannique des logiciels.
43 p. ; 28 cm. - Langue
- anglais
- URL pérenne
- https://n2t.net/ark:/69429/m0736m041q59