U.S. trade remedy law :
This digital collection contains images of historical texts. Alternative text is not available for these images.
There was an error retrieving this image.
For help and additional download options, please see our documentation
Help
[Ottawa] : External Affairs and International Trade Canada, 1993.; 273 images with full-text search
Document Record
- Creator
- Canada. External Affairs and International Trade Canada. United States Trade Relations Division.
- Title
-
U. S. trade remedy law : a 10 year experience.
US trade remedy law : a ten year experience.
United States trade remedy law : a ten year experience.
U.S. trade remedy law : a ten year experience. - Published
- [Ottawa] : External Affairs and International Trade Canada, 1993.
- Identifier
-
CA1 EA409 93U77 ENG
ooe.b2530703E
b2530703E - Subject
-
Canada.Treaties, etc.United States1988 January 2.
Commercial law -- United States.
Foreign trade regulation -- United States.
United States -- Foreign economic relations.
United States -- Foreign economic relations -- Canada.
Canada -- Foreign economic relations -- United States.
United States -- Commerce.
United States -- Commerce -- Canada.
Canada -- Commerce -- United States.
United States -- Commercial policy. - Notes
-
Also published in French under title: Le Canada et les lois américaines sur les sanctions commerciales : l'expérience des dix dernières années.
On title page : "February, 1993". On cover : "March 1993"
x, 234 p. ; 28 cm.
Includes bibliographical references.
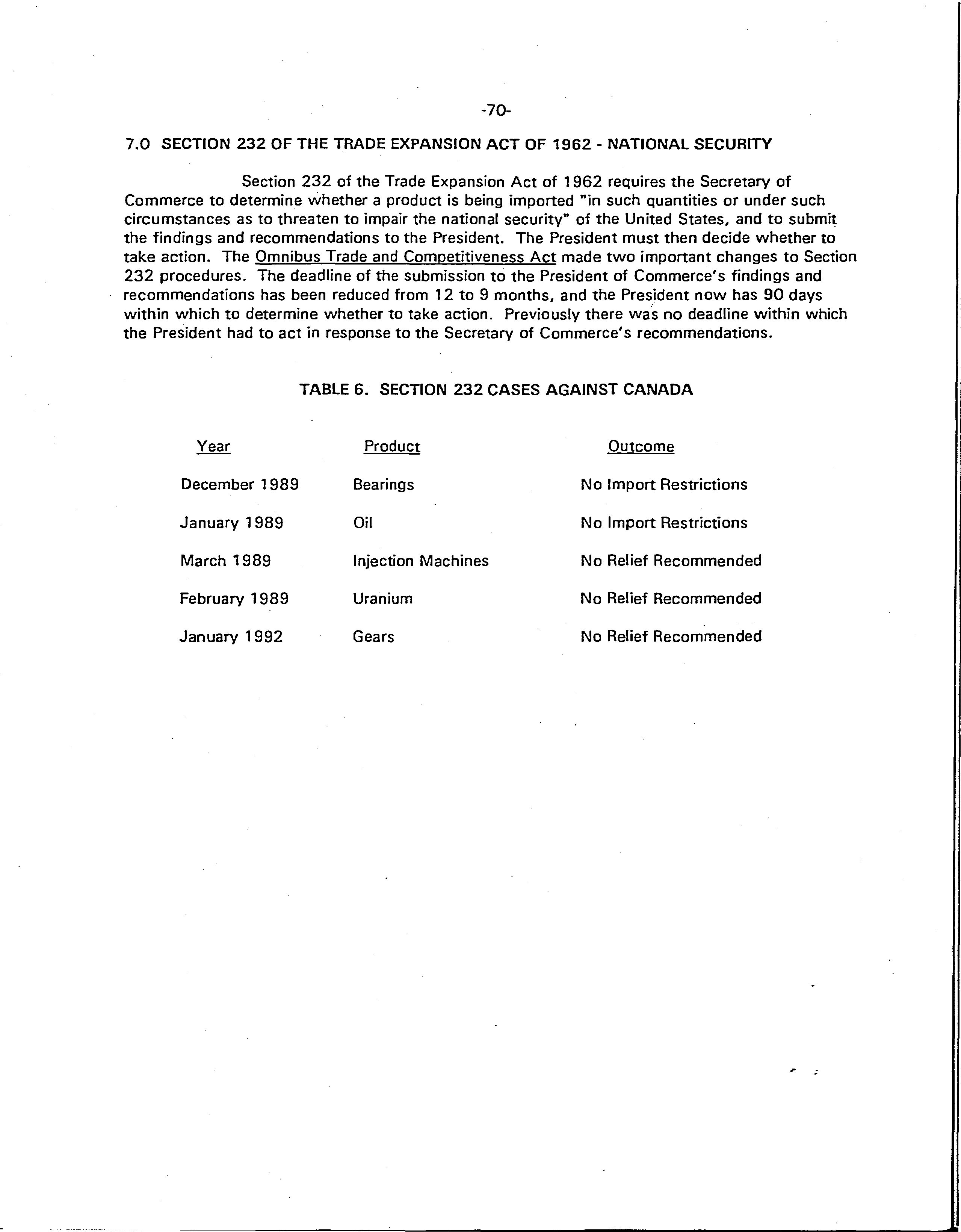
Foreword -- Introduction -- Countervailing duty (CVD) law -- Methodologies utilized in U. S. countervailing determinations -- Antidumping (AD) law -- Sections 301-310 of the Trade Act of 1974, as amended -- Unfair practices in import trade -- Section 232 of the Trade Expansion Act of 1962 - National Security -- Section 332 of the U. S. Tariff Act of 1930 - fact finding investigations -- Emergency safeguard actions -- United States-Canada Free Trade Agreement. - Language
- English
- Persistent URL
- https://n2t.net/ark:/69429/m0qv3bz64b3m