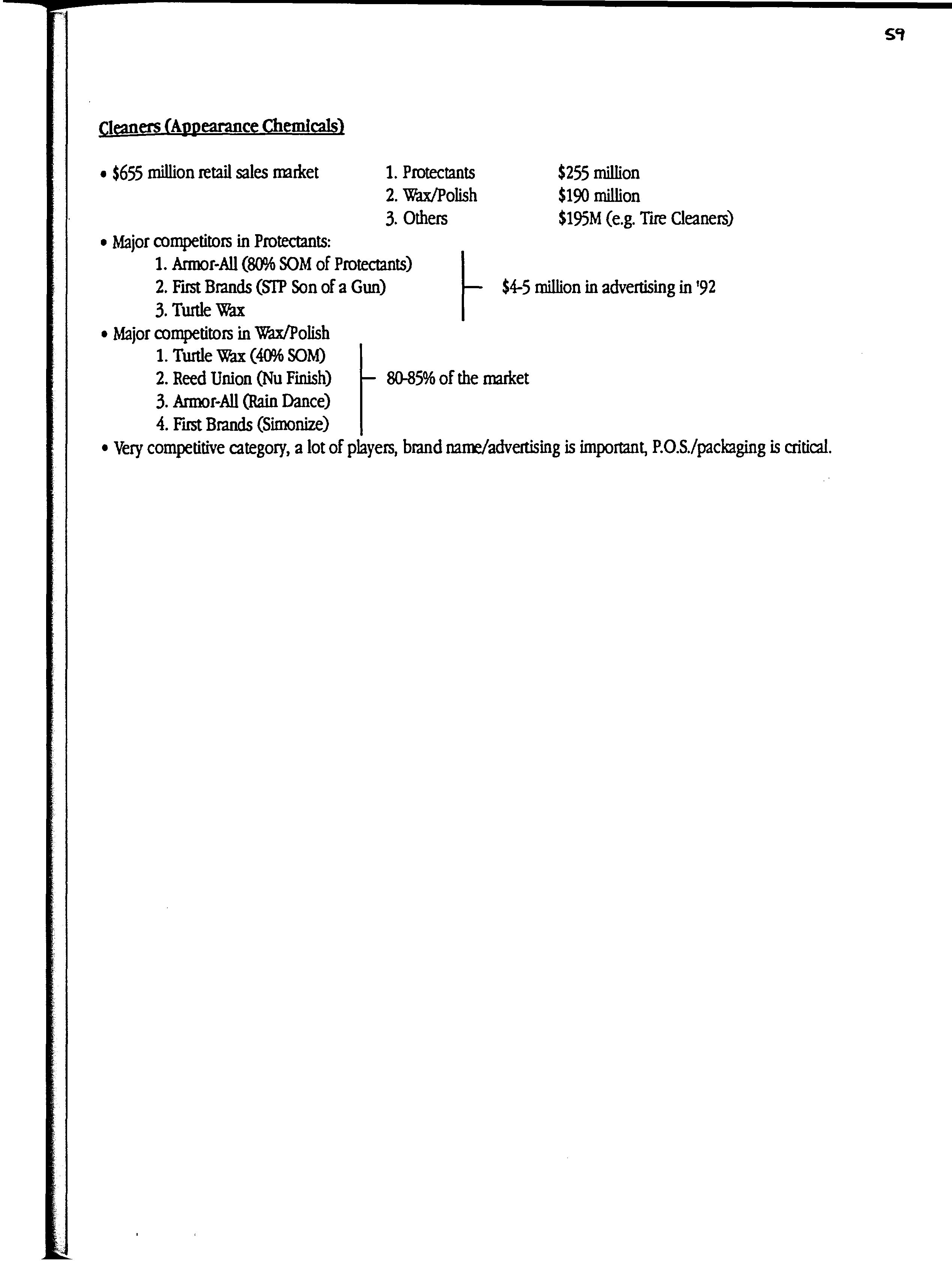
Market opportunity assessment :
Cette collection numérique contient des images de documents historiques textuels. Un texte alternatif n’est pas disponible pour ces images.
Une erreur est survenue lors du téléchargement de cette image.
Pour obtenir de l'aide et des options de téléchargement supplémentaires, veuillez consulter notre page documentation
Aide
Boston : Spectrum Boston Consulting Inc., 1992.; 206 images avec recherche en texte intégral
Notice bibliographique du document
- Créateur
-
Canada. Consulate General (Boston, Ma)
Spectrum Boston Consulting, Inc. - Titre
- Market opportunity assessment : the New England auto aftermarket for Canadian parts & accessories companies.
- Adresse bibliographique
- Boston : Spectrum Boston Consulting Inc., 1992.
- Identificateur
-
CA1 EA660 92M15 ENG
ooe.b2544982E
b2544982E - Sujet
-
Automobile industry and trade -- United States.
Automobile industry and trade -- Canada. - Notes
- 1 v. (various pagings) ; 28 cm.
- Langue
- anglais
- URL pérenne
- https://n2t.net/ark:/69429/m0qf8jd4sq8j