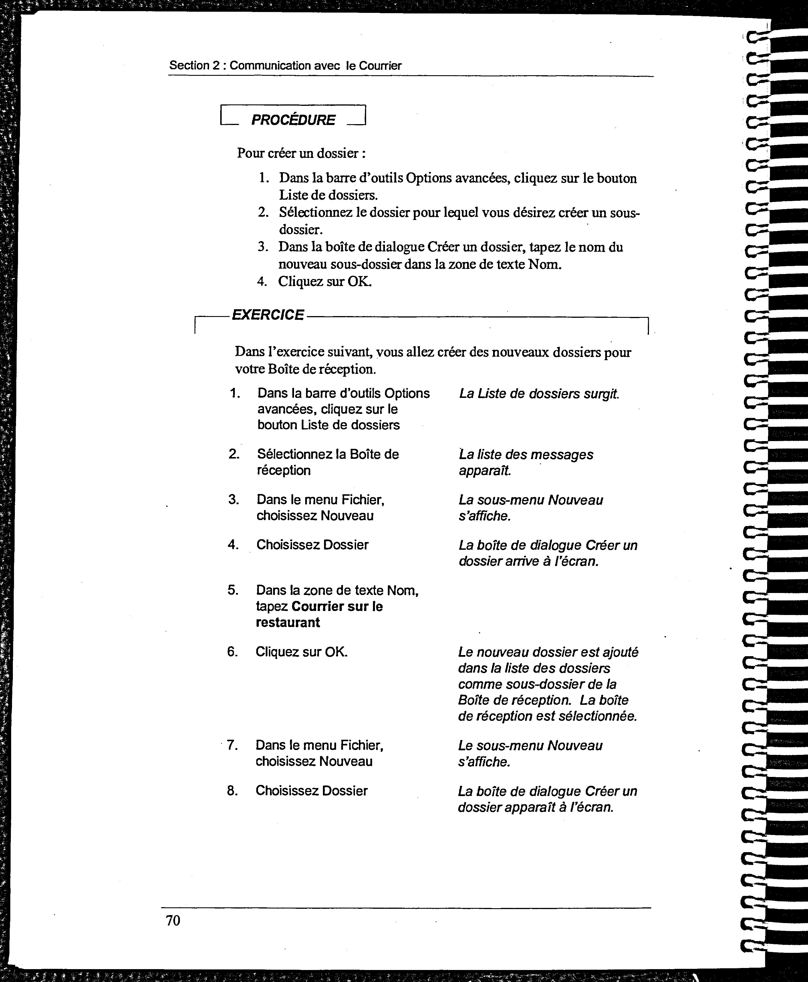
Guide de formation Microsoft ³r outlook 98 /
Cette collection numérique contient des images de documents historiques textuels. Un texte alternatif n’est pas disponible pour ces images.
Téléchargement...
Une erreur est survenue lors du téléchargement de cette image.
Pour obtenir de l'aide et des options de téléchargement supplémentaires, veuillez consulter notre page documentation
Aide
[Ottawa] : MAECI, 1999.; 391 images avec recherche en texte intégral
- Créateur
-
Canada. Ministère des affaires étrangères et du commerce international.
- Titre
-
Guide de formation Microsoft ³r outlook 98
- Adresse bibliographique
-
[Ottawa] : MAECI, 1999.
- Identificateur
-
CA1 EA 99T63 FRE
ooe.b3374403F
b3374403F
- Sujet
-
Microsoft Outlook -- Guides, manuels, etc.
Traitement de texte -- Logiciels -- Guides, manuels, etc.
IBM-PC (Ordinateur) -- Programmation -- Guides, manuels, etc.
IBM Personal System/2 (Système informatique) -- Programmation -- Guides, manuels, etc.
- Notes
-
Titre de la couverture.
Comprend un index.
381 p. : ill. ; c28 cm. 1 disquette d'accompagnement (Ordinateurs IBM-PC, PS/2 et compatibles) ;
- Langue
-
français
- URL pérenne
-
https://n2t.net/ark:/69429/m0tt4fn13x85